0000
> One of the easiest chapters and most scoring chapter in the Reasoning section.
> Direction is the measurement of respect to another entity or a reference point.
Prime Direction
.png)
Sub-Direction:
.png)
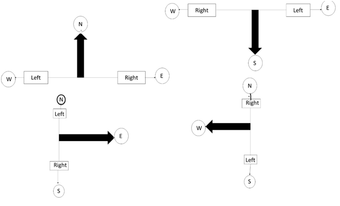
Turning
.png)
Direction with respect to Sun
a) In the Morning (North-facing)
.png)
For North facing shadow at his left in the down morning
b) In the Evening(North-facing)
.png)
For North facing shadow is at his right during dusk/evening
c) In the Morning (South-facing)
.png)
For South facing shadow is at his right during dusk/evening
d) In the Evening (South-facing)
.png)
For South facing shadow is at his left during dusk/evening
e) Left-Right Direction
.png)
Questions
1) Rani and Sarita started from a place X. Rani went west and Sarita went North both traveling at the same speed. After some time both turned their left and walked a few steps if they again turned to their left in which directions the faces of Rani and Sarita will be with respect to X?
a) North and East
b) North and west
c) West and North
d) East and South
Solution:
.png)
Final directions of Rani and Sarita are East and South respectively.
Option (d) is the correct answer.
2) Kat walks 4km towards the South. She then turns towards her left and walks 8km more. After that, she turns left again and walks another 8km. Here she meets her friend coming from the opposite direction and they both stop here. Which direction would she be facing?
a) North
b) South
c) East
d) West
Solution:
.png)
Kate is facing North now.
Option (a) is the correct answer.
3) Ram and Shyam start walking towards North and cover 20m. Ram turns to his left and Shyam to his right. After some time Ram walks he turned. On the other hand, Shyam walks only 7m. Later Ram turns towards his left and Shyam to his right. Both walk 25m forward. How far is Ram from Shyam now?
a) 10m
b) 20m
c) 17m
d) 5m
Solution:
.png)
Option (c) is the correct answer.
4) Seema walks 30m North. Then she turns right and walks 55m. Then she turns left and walks 20m. Then she again turns left and walks 25m. How many meters away is she from her original position?
a) 45m
b) 50m
c) 66m
d) 55m
Solution:
.png)
30 + 20 = 50m
Option (b) is the correct answer.